Skip to content
  • STNI
  • Statistics
    • Ops and Passengers
    • Financials
    • Air Quality Monitoring
    • Flight Tracking
      • Flow and Flight Tracks
      • Five Year Comparison
      • Busiest Hours and Days
    • SEL Noise Reports & Graphs
      • Noise Events mapped
      • Noise Events (SEL)
        • About The Permanent Noise Monitors
    • Runways
    • Employees
    • Real Estate
      • Port Properties and Trees mapped
    • Parking
  • Events
  • Protest
    • Legislation 2026
    • Complain about a particular flight
    • Regular Events
    • Advocacy Organizations
    • Media Outlets
    • People
    • The Port of Seattle
      • Commission Meetings
      • Public Records Requests
      • StART
      • Highline Forum
    • Contact Your Electeds
  • Resources
    • FAQs
      • FAA Occurrences/Accidents/Indents
    • The unSustainable Airport Master Plan
      • SAMP Record of Decision/FONSI (2025)
      • SAMP Draft EA (October 2024)
      • 2018 Scoping
    • Port Packages
      • Port Package Property Costs
      • Port Packages mapped
      • The Port Package Explainer
      • So you want a (first-time) Port Package? Start here
      • Port Package Looker Upper
      • How do I determine if I have a Port Package or Avigation Easement?
      • Progress on Port Package Update legislation
      • Having a Port Package Problem?
      • Port Package Site Visit Follow-Up
    • Document Library
    • Explainers
      • The Airport Law Cheat Sheet
      • The Grant Explainer
    • External Articles
    • History
      • Timeline
    • Studies
    • Videos
  • Stories
  • Mission
  • Subscribe
  • Contact
Scroll down to content

Get InformedStay Informedx

I understand that you will never share my information with anyone, you will only use it to keep me updated on relevant events and that I may unsubscribe at any time.

STNI

STNISea-Tac Noise.Info

  • Solve for Sea-Tac. Solve for every airport.
  • Since 2016, working to obtain justice for everyone living under the flight path.
  • Less Noise. Cleaner Air. Better Public Health. Compensation.
  • Everything you think you know about the airport is wrong.

TagPFC(5)

Advanced Search Options

  • Dates
  • Media
    • External Articles
    • Images
    • PDFs
    • Video
    • Audio
  • Order By
  • Passenger Facility Charge; Final Rule: 14 CFR Part 158

    ★
    This document describes the Passenger Facility Charges which all major airports (including Sea-Tac) collect at a rate of $1-$4 per enplaned passenger. This money is then used by the airport operator (The Port Of Seattle) for airport improvements (eg. resurfacing the runways) as well as noise mitigation. Along with AIP Grants, this source of revenue
    CategoriesKey Documents TagsAIP, Part 158, Passenger Facility Charges, PFC
  • The PFC Explainer

    Every time you fly out of Sea-Tac, $4.50 of your ticket price goes directly to the airport. That charge, called a Passenger Facility Charge (PFC), is a multi-billion dollar fund, and one of the biggest single revenue sources for airport expansion. In the past it was used for noise-mitigation programs. Today? Not so much.
    TagsFAA, Part 150, PFC
  • 2025-06-09

    Three votes. Three dollars.

    Funding Port Package updates made simple There’s always been confusion about Port Packages (sound insulation): Who pays for it? Who can pay for it? Who is eligible? Who should be eligible? There are a bunch of rules governing all of the above. They may seem complicated. Because they are. But the actual solutions are simple.
    CategoriesNews Stories TagsAIP, PFC, SFO, SIRRPP
  • Passenger Facility Charge (PFC)

    The Passenger Facility Charge (PFC) Program allows the collection of PFC fees up to $4.50 for every enplaned passenger at commercial airports controlled by public agencies. PFCs are capped at $4.50 per flight segment with a maximum of two PFCs charged on a one-way trip or four PFCs on a round trip, for a maximum
    CategoriesFrom The Web TagsFAA, Noise Mitigation, Passenger Facility Charges, PFC
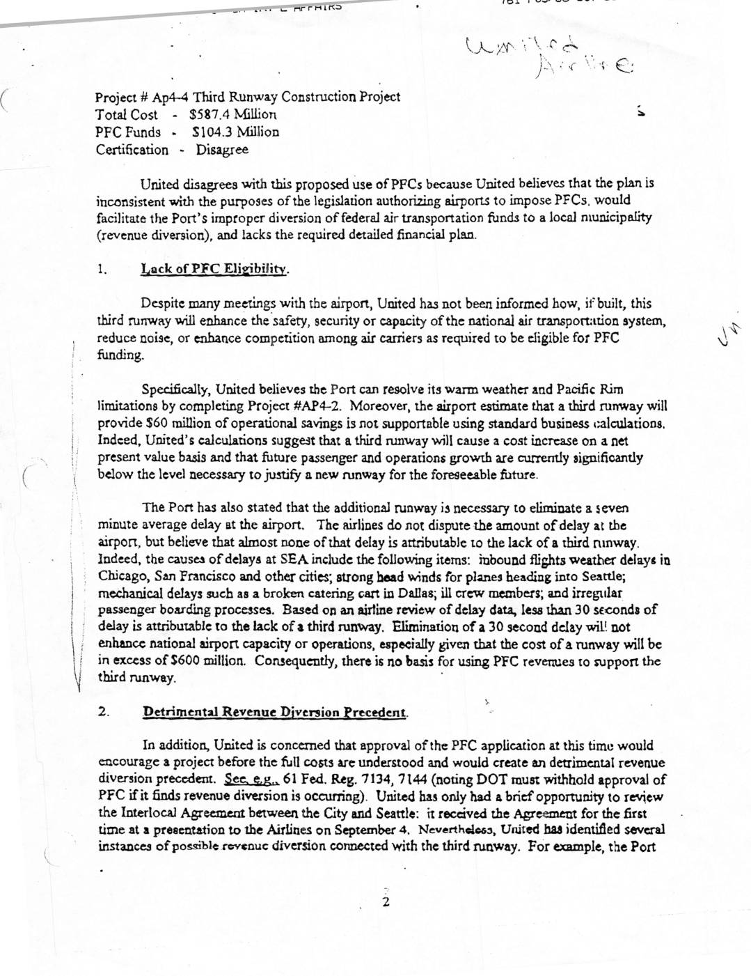
  • Project #ap4-4 third runway construction project PFCs UA disagree

    TagsPFC, Third Runway, United Airlines
Sidebar On/Off

Upcoming Events

  • PSCAA Advisory Council Meeting
    Add to CalendarMThursday May 14, 9:00am - 12:00pm
    1904 3rd Avenue, Suite 105, Seattle, WA 98101
    May 14 2026 advisory council meeting agenda and materials pdf

    Call to Order – Land Acknowledgement 9:00 – 9:05 Land acknowledgement recognizing Coast Salish people and traditional lands I. Early Morning: Alignment & Assessment A. Approval of March 11, 2026 Minutes 9:05 – 9:30 B. Introductions and Setting Goals and Norms for Retreat 9:05 – 9:30 II. New Business A. Strategic Plan Third Annual Report

    [...]
  • KCIA Vision 2045 Open House
    Add to CalendarMThursday May 14, 5:30pm - 7:30pm
    KCIA Flight Service Station, 6526 Ellis Ave. S. Seattle, WA 98108
    Kcia Boeing Field Beautyshotkcia

    King County International Airport-Boeing Field is at a pivotal moment, developing comprehensive plans that will determine its operations through 2045. The airport's Vision 2045 Airport Plan and Part 150 Study represent crucial strategic initiatives to balance safe, efficient operations with evolving aviation demands and community needs.

    Join airport officials on Thursday, May 14 (5:30-7:30 p.m.) at the KCIA Flight Service Station to discover the preferred alternative for the airport's future development. This isn't just another planning meeting—it's your opportunity to understand how proposed projects and improvements will directly impact aviation services, local operations, and surrounding communities.

    The Vision 2045 plan incorporates extensive stakeholder feedback and addresses critical infrastructure needs for future demand. Meanwhile, the Part 150 Study focuses on noise compatibility programs, ensuring community concerns remain central to planning decisions.

    With environmental analysis nearing completion and submissions to King County Council and the FAA approaching, this open house offers essential insights into decisions that will shape regional aviation for decades.

    Visit KCIAplanning.com for updates.

    [...]

[See all...]


Help study childhood asthma. Get free HEPA filter!

read more...

Issues

Sea-Tac Airport is currently undergoing the largest and longest expansion in its history, collectively known as the Sustainable Airport Master Plan (SAMP). Some of it you can already hear, but you’re probably not aware of what it all means. Here’s what you need to know.
read more...

Read This!

A report examining the barriers to implementing sustainable aviation fuel (SAF) in Massachusetts, authored by Neil Rasmussen and Chuck Collins from the Institute for Policy Studies. The report analyzes challenges and obstacles facing SAF adoption in the state.
continue...

The Podcast!

Subscribe to the only podcast devoted to policies, politics, history, impacts for people living under the flight path everywhere. It’s definitely not just about noise!
  • Sea-Tac Noise.Info
  • Connect with STNI

    • Subscribe
    • Port Package Problem?
    • Donate
    • Podcast
    • Socials
      • Facebook
      • X (Twitter)
      • Bluesky
      • Instagram

    "EXH0713026429" — , 2002

  • Learn

    • Frequently Asked Questions
    • Explainers
    • Youtube
    • Research Requests
    • Make a complaint
  • Goals

    Fulfill the promises of 1976:
    • Compensation
    • Reduced noise
    • Improved air quality
    • Environmental remediation
Login/Register
©2026•Data Privacy

Message

Manage Cookie Consent
We use cookies to store and/or access device information. Consenting to these technologies will allow us to process data such as browsing behavior or unique IDs on this site. Not consenting or withdrawing consent, may adversely affect certain features and functions.
Functional Always active
The technical storage or access is strictly necessary for the legitimate purpose of enabling the use of a specific service explicitly requested by the subscriber or user, or for the sole purpose of carrying out the transmission of a communication over an electronic communications network.
Preferences
The technical storage or access is necessary for the legitimate purpose of storing preferences that are not requested by the subscriber or user.
Statistics
The technical storage or access that is used exclusively for statistical purposes. The technical storage or access that is used exclusively for anonymous statistical purposes. Without a subpoena, voluntary compliance on the part of your Internet Service Provider, or additional records from a third party, information stored or retrieved for this purpose alone cannot usually be used to identify you.
Marketing
The technical storage or access is required to create user profiles to send advertising, or to track the user on a website or across several websites for similar marketing purposes.
  • Manage options
  • Manage services
  • Manage {vendor_count} vendors
  • Read more about these purposes
View preferences
  • {title}
  • {title}
  • {title}
V V